
【中国科学报】孙昌璞忆杨振宁:顶级理论物理学家的3大贡献,他几乎都做到了
| 来源:中国科学报【字号:大 中 小】
“要理解一位伟大的科学家,你不能只把他当成科学家,你要把他当成一个真真实实的人来看。这样你就会发现,人们对他的一些评价,过于简单了。”
杨振宁去世后,他与葛墨林院士联合培养的博士研究生,著名理论物理学家、中国科学院院士孙昌璞接受《中国科学报》专访时如是说。

孙昌璞(左)与杨振宁先生和葛墨林先生(右)的合影。
20世纪90年代,孙昌璞来到美国纽约州立大学石溪分校,在杨振宁指导下开展博士后研究。杨振宁一生只收过寥寥几名学生,他作为指导老师署名的博士生论文,大概不会超过10篇,其中一篇就是孙昌璞的。
在孙昌璞看来,杨振宁固然是天才,同时又是天才中少有的一种——他善于共情和体谅他人,是不折不扣的理想主义者,却又对不够完美的现实充满理解和同情。
《中国科学报》:2013年,杨振宁回国定居清华园时,写了一首《归根诗》,其中有一句“学子凌云志,我当指路松”。你也曾说,他是通过指引一个个人、一件件事、一个一个研究方向,一步一步推动中国物理学进步的。能否详细讲讲,杨振宁是一棵怎样的“指路松”?
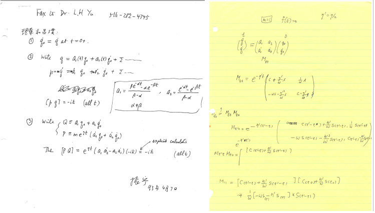
孙昌璞:1992年,我来到纽约州立大学石溪分校。杨先生给我的第一个题目是宏观系统的量子效应如何受量子耗散的影响。今年获得诺贝尔物理学奖的工作就和这个题目直接相关。但在当时,这并不是一个热门领域,甚至都不算一个热点问题,只有极少数科学家在做,所以直到今天,准确理解这个问题和今年诺贝尔物理学奖的工作也需要一些努力。

杨振宁(左)和孙昌璞关于宏观量子系统耗散问题的研究手稿。
此外,他还给了我几个研究方向,包括量子纠缠与鬼成像相关问题、量子光学、冷原子及玻色-爱因斯坦凝聚研究和高温超导模型等,如今每个方向都已开花结果。当时杨先生预言玻色-爱因斯坦凝聚和冷原子研究会在未来20年有很好的发展,事实上直到今天,这个领域在近30年间都是物理学的主流方向。他对科学趋势的深邃洞察,至今看来仍然令人震撼。
在石溪,经常有年轻人来找他学术“问路”。对此,杨先生的思考角度是“如果他是我的孩子,我要告诉他做什么”。
有些人想在美国从事高能物理研究,杨先生往往并不推荐。当时我很不理解,还问他为什么打击人家的积极性。杨先生告诉我,像高能物理这样的领域,在美国很不好就业。这个领域完全依赖高能加速器,但只要加速器的原理没有出现变革,经费支出就会非常之高,是百亿美元级别的。而如果一个基础研究领域高度依赖经费投入,就很难发展。他认为,如果想做高能物理,就要去研究加速器原理,从根本上打破这个领域的瓶颈。后来,他有两个杰出的学生(赵武和余理华)去做加速器物理研究,都取得了很好的发展。
杨先生总是根据每个学生的特点和实际需要来指导研究方向。他曾对一名学生说,“未来生物物理学可能会有大的发展,虽然我不做这个,但你可以去做”。后来这名学生确实在生物物理学领域做得很成功。
《中国科学报》:杨振宁如此热心于为年轻人指路,为何在他漫长的学术生涯中,带的学生却似乎并不多呢?
孙昌璞:的确如此,杨先生亲自带过的学生大概只有七八名,我想博士论文上指导老师那栏写着他名字的,可能不超过10篇。

孙昌璞博士学位论文封面。
我曾问过他原因,他说,“在理论物理学领域,年轻人的成长需要从一些具体问题着手,而我也是亲自动手做题目,没有那么多好的题目给大家”。
杨先生曾师从美国“氢弹之父”泰勒,这是一位很有个性的大科学家,一天能有10个想法,其中有9个半都是错的。这无损于他在学术上的成就,但他如果以这样的风格给学生指路的话,大概就会有些问题。而杨先生的风格则体现了东方人的审慎,他会担心如果给的题目不好,会误导学生。我能感到他指导我的科学问题,自己都已经很深入地思考过了。
《中国科学报》:杨振宁对高能物理的态度一直是学术界的争议话题,作为熟悉他的人,你如何理解他在这个问题上的坚持?
孙昌璞:现在很多人对杨先生有误解,认为他是反对高能物理的。但要知道,杨先生一生中有2/3的时间在做高能物理,另外1/3的时间在做统计物理。
显然,他并不认为这个领域不重要,但他会很务实地考虑问题。比如,当年中国要造一个很大的加速器,杨先生反对的理由就很简单,也很直率,他认为加速器与国防科技等刚需领域不同,是短时间内无法得到应用的基础科学。而当时中国的经济百废待兴,还处于比较困难的时期,比起花那么多钱建造加速器,先照顾好老百姓吃饭的问题更要紧。而且这样一个巨大的科学工程需要很多人的付出,那么,作为某一个具体的人,就很难在这个领域成名,所以他也不太推荐个人去做。
这就是杨先生,他一生都在追求最优美的科学,但同时也在反复掂量实践这种科学要付出的代价。理想主义和现实主义在他身上是共存的,但也时常碰撞出矛盾——自然界最简单、最底层的规律最漂亮,但要捕捉这个规律要花很多很多钱,这时候该怎么办呢?
《中国科学报》:杨振宁的学术洞察力,与他所推崇的学术品味是否有关?
孙昌璞:杨先生能看得这么远,正是因为他的学术品味。他称赞狄拉克(量子力学奠基者之一)的文章是“秋水文章不染尘”,干干净净,直指本质。他对自己和学生的文章也是这样要求的。此外,他还很喜欢傅山的一句话“宁拙毋巧”,追求大道至简的朴拙之美,所以他的想法总是很绝妙,但用的方法往往很简单。
其实自然演化的规律也是这样,既高效又经济,至简至美。因此,杨先生用这种品味指导自然科学的研究,也是恰如其分的。
《中国科学报》:在物理学界,像杨振宁这样既有深刻的学术洞察力,又愿意利用这种洞察力提携后学、为年轻人指路的科学家多吗?
孙昌璞:我想这的确是他非同寻常的一点。杨先生从年轻时就很乐于分享。他最著名的成果之一——杨-米尔斯理论,是他32岁时遇到一个名叫米尔斯的博士后,很热情地把自己的想法与他共享,一起做出来的。
黄昆先生和美国著名物理学家、数学家弗里曼·戴森都曾说杨先生是一个“正常的天才”,这个说法后来流传很广。相比很多特立独行的天才,杨先生是一个乐于并善于共情他人的人,能看到别人的难处。他曾让我去找一位著名数学家讨论我的一篇文章。对方一开始也很看好文中解决的问题,但过了两天又发现这个问题没那么重要了。在这篇文章里,我证明了9个引理才得到一个中心定理,但我当时有些丧气,准备放弃发表它,杨先生大概看出了我的情绪,说数学家的视角和物理学家有差异。我模糊地记得是他在法国开会期间专门打电话告诉我,鼓励我把它发表出来。后来这篇文章还是有一点影响的。
我到美国时,杨先生已经70岁了,他还在坚持亲自手推公式。我经常开玩笑说,我向杨先生学习,要做“手搓”的科研。我相信如果他不是在长期具体的实践中形成对各个学科方向的认知,他的洞察和指引也不会有这样的生命力。

杨振宁指导孙昌璞推导公式

孙昌璞的女儿给杨振宁背诵“红豆生南国”。受访者供图
《中国科学报》:在你看来,杨振宁在物理学史乃至科学史上是一个怎样的存在?这个问题会不会比较难回答?
孙昌璞:我倒觉得不难回答。顶级理论物理学家的贡献大概能分成3种类型:第一种,发现了非常基本的规律,比如牛顿定律、麦克斯韦方程、量子力学;第二种,预言了一些新的物质或重要物理现象;第三种,影响了物理学以外的其他学科。
我想杨先生至少占了两种:他的杨-米尔斯方程是当代物理学中可以比肩麦克斯韦方程的奠基性工作,继续发展下去,有其他多位科学家据此建立了基本粒子的标准模型,使得诸多理论预言被实验证实;他和李政道先生合作发现了弱相互作用下互为镜像的粒子运动不对称的基本规律,很快被吴健雄等人的实验证实;他在统计物理学精确解模型和非阿贝尔规范场中的工作引起了数学新领域的突破,如量子群和四维流形分类,很多菲尔兹奖获得者的工作都与杨先生有关。
顶级理论物理学家的3类重大贡献,杨先生几乎都做到了。与爱因斯坦以一己之力开创并完善狭义和广义相对论等划时代工作相比,杨先生应该还有差距,但他毫无疑问可以比肩20世纪其他顶级的少数几位理论物理学家。